Методы измерения температуры полупроводниковых приборов
Привет всем, я Саумитра Ягдейл. Добро пожаловать в новый пост сегодня. Сегодня я расскажу вам, как измерить температуру полупроводниковых приборов.
Темы, затронутые в этой статье: |
Ⅰ. Методы измерения температуры полупроводникового прибора |
Ⅱ. Понимание того, как различные оптические свойства влияют на температуру |
Ⅲ. Различные зондирующие устройства, используемые для обнаружения передачи тепловой энергии от одного устройства к другому. |
Ⅳ. Обзор различных электрических параметров, которые существенно влияют на измерение температуры |
Ⅴ. Заключение |
Несмотря на революционные достижения в области полупроводников, основная проблема, с которой сталкиваются производители микросхем, — это перегрев этих устройств. Эта проблема снижает их общую эффективность и срок службы корпуса, увеличивая стоимость и потребление ограниченных ресурсов. Для решения этой проблемы разрабатываются инновации и методы обнаружения перегрева и поддержания рабочей температуры полупроводника.
Рабочая температура существенно влияет на производительность и надежность полупроводниковых устройств, поскольку температура является наиболее часто измеряемой переменной окружающей среды. Это оправдано, поскольку электрические, механические, химические и биологические системы изменяются под действием температуры. Поэтому нам необходимы методы измерения температуры, которые будут обеспечивать ввод данных в блок управления, поддерживающий рабочий температурный режим системы.
Можно с уверенностью предположить, что повышение мощности полупроводникового устройства уменьшается с увеличением температуры. Например, крутизна транзистора может меняться при повышении температуры (в зависимости от конфигурации устройства и условий работы). На рисунке 1 показана связь между повышением номинальных характеристик полупроводника и его температурой.
Рис. 1. Повышение мощности в зависимости от температуры
Поэтому в этой статье объясняются различные методы и их параметры для измерения температуры полупроводниковых устройств , а также рассказывается о точности, пространственном и временном разрешении. Примечательно, что большинство задач по измерению температуры включают в себя улучшение этих величин.
Ⅰ. Методы измерения температуры полупроводникового прибора
Обычно существует три подхода к измерению температуры полупроводникового устройства. Эти подходы включают оптический метод, физически контактный метод и электрический метод, каждый из которых имеет свой набор преимуществ и недостатков.
А) Оптический метод: температура измеряется с использованием оптических свойств, таких как люминесценция, отраженное излучение, естественное излучение или принудительное излучение. Например, представьте, что концентрированный пучок фотонов фокусируется в определенной точке устройства. Часть этого пучка фотонов может отразиться обратно из-за изменения температуры устройства, поскольку диффузия энергии фотонов решетки является функцией температуры.
Следовательно, мы можем просто измерить изменение фотон-фотонного взаимодействия и сделать вывод об изменении температуры зондируемого объекта (термометра), который находится в области падающего пучка фотонов.
Этот метод позволяет измерить температуру тела с очень высоким пространственным разрешением и не требует контакта. Кроме того, он также может измерять быстрые изменения температуры, поскольку задержка времени отклика очень мала. Однако этот подход является дорогостоящим и требует, чтобы целевое тело было видимым.
Ⅱ. Понимание того, как различные оптические свойства влияют на температуру
Как обсуждалось выше, существуют различные оптические свойства, которые существенно влияют на температуру полупроводникового устройства. Каждое из этих свойств зависит от спектра света для определения температуры.
● Люминесценция. Люминесценция — это излучение излучения в результате внешнего раздражителя, например электромагнитного тока или возбуждения фотонов. Испускаемое излучение индуцируется воссоединением электронов и дырок, причем пик энергии приходится на энергию запрещенной зоны материалов с непрямой запрещенной зоной.
Уравнение 1
Приведенное выше уравнение показывает, что энергия запрещенной зоны Eg прямо пропорциональна квадрату температуры.
● Инфракрасное излучение. Инфракрасное излучение является одним из наиболее часто используемых оптических методов измерения температуры. Уравнение Стефана-Больцмана для полной излучаемой энергии, которое показывает связь между спектральным излучанием и температурой, имеет вид
Уравнение 2
Где ɛ — коэффициент излучения, который находится в диапазоне от 0 до 1 для реальных излучателей. Таким образом, используя это уравнение, мы можем определить температуру тела, измеряя общее испускаемое излучение. Однако основной проблемой инфракрасного излучения является коэффициент излучения, поскольку он меняется от материала к материалу, что приводит к изменению общего спектрального коэффициента излучения. Поэтому важно учитывать эти изменения при учете температуры.
На рисунке 2 показано, как излучение полупроводникового устройства меняется в зависимости от температуры.
Б) Метод физического контакта. Прежде всего, этот метод основан на фактическом физическом контакте между устройством и зондирующим объектом, которым обычно является термометр. Этот подход включает точечный контакт с использованием термопар и/или множественные покрытия с использованием термографического фосфора и жидких кристаллов. Короче говоря, мы обнаруживаем, что передача тепловой энергии в единицу времени от одного устройства к другому является основным фактором, влияющим на измерение температуры.
Основным преимуществом этого метода является то, что он имеет очень высокое пространственное разрешение и позволяет легко создавать карты температуры. Однако для этого требуется физически доступная поверхность устройства для контакта, из-за чего невозможно измерить температуру упакованных чипов. Более того, тепловой отклик полностью зависит от отклика зонда (термометра).
Ⅲ. Различные зондирующие устройства, используемые для обнаружения передачи тепловой энергии от одного устройства к другому.
Зондирующие устройства играют важную роль в методе физического контакта, поскольку они присутствуют на корпусе устройства и непосредственно измеряют температуру.
● Сканирующие тепловые датчики. Фактически это единственные тепловые датчики, которые могут измерять температуру тела в наномасштабе. Эти атомно-силовые микроскопы соединены с термочувствительными элементами, такими как термисторы или термопары, для измерения температуры.
Эти зонды обеспечивают высочайшее пространственное разрешение благодаря своим крошечным размерам. На рисунке 3 показаны различные микроскопические поверхности и расположение термозонда для определения температуры.
Рис. 3 Различные углы зондирования
● Термографические люминофоры: этот материал представляет собой керамический порошок соединений люминофора, легированных редкоземельными элементами, которые светятся под воздействием ультрафиолетового излучения. Интенсивность этого освещения зависит от температуры и уменьшается с повышением температуры.
C) Электрический метод: Электрический метод использует электрические параметры, такие как прямое напряжение PN-перехода, пороговое напряжение, электрическое сопротивление и коэффициент усиления по току. Поскольку эти параметры меняются в зависимости от температуры, мы можем легко рассчитать температуру устройства. Этот метод позволяет получить сосредоточенное среднее значение фактического распределения температуры. На рисунке 4 показана разница в распределении температуры между реальными и идеальными телами.
Рис. 4. Распределение температуры в реальных и реальных телах.
Этот метод не требует физического контакта с устройством. Однако он не может предоставить карту температуры, поскольку указывает температуру для конкретной области, например, температура перехода одинакова только для области перехода и больше нигде. Кроме того, этот метод требует калибровки перед измерением температуры.
Ⅳ. Обзор различных электрических параметров, которые существенно влияют на измерение температуры
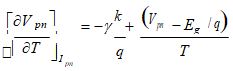
● Прямое напряжение PN-перехода. Прямое напряжение PN-перехода является одним из наиболее часто используемых параметров для измерения температуры полупроводникового устройства. На рисунке 5 показано изменение напряжения перехода в зависимости от температуры.
Рис. 5. Напряжение перехода в зависимости от температуры.
Связь между температурой и прямым напряжением определяется выражением:
Уравнение 3
Здесь I pn — ток, текущий через сетку с зарядом электрона q, равным 1,6·10-19 Кл, где k — константа Больцмана, Eg — ширина запрещенной зоны кремния, а прямое напряжение Vpn . Левая часть уравнения равна примерно -2 мВ/К и колеблется примерно на 7 % в диапазоне от 275 до 475 К. Она также известна как «калибровочная константа».
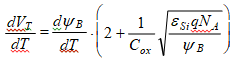
● Пороговое напряжение: это еще один аналогичный электрический параметр, используемый для измерения температуры полупроводникового устройства. На рисунках 6(A) и 6(B) показана взаимосвязь между температурным изменением порогового напряжения и температурной производной порогового напряжения для силового МОП-транзистора и МОП-транзистора интегральной схемы соответственно.

Рис. 6 A и B. Пороговое напряжение в зависимости от температуры.
Уравнение иона 4
Здесь V T — пороговое напряжение, ψB — расстояние от середины запрещенной зоны до уровня Ферми, ε si — диэлектрическая проницаемость кремния, COX — собственная оксидная емкость затворного канала, а NA — плотность легирования . Это уравнение дает нам связь между пороговым напряжением и температурой.
Ⅴ. Заключение
Вкратце можно сделать вывод, что существует несколько методов измерения температуры полупроводникового прибора, имеющих свои сильные и слабые стороны. Инженеры могут выбрать конкретный метод измерения в зависимости от конкретных потребностей, таких как требования к температурным картам, наличие упакованных или неупакованных чипов или уровень пространственного и временного разрешения.
















